Lompat ke konten Lompat ke sidebar Lompat ke footer

Come Si Risolvono I Sistemi

Come Si Risolvono I Sistemi

Si pongono quindi due sistemi, con soluzioni diverse. Questo forse è il punto centrale:

Ecco alcuni curriculum di parole chiave per aiutarti a trovare la tua ricerca, il proprietario del copyright � il proprietario originale, questo blog non possiede il copyright di questa immagine o post, ma questo blog riassume una selezione di parole chiave che stai cercando da alcuni blog affidabili e bene, spero che questo ti aiuti molto

Come si risolvono i problemi? Nelle lezioni precedenti abbiamo spiegato come classificare i quesiti di logica matematica e li abbiamo suddivisi in 5 gruppi. Entra in questa pagina dell'assistenza microsoft e segui la procedura guidata:

Sistemi Lineari Di Equazioni Docsity
leggi l'articolo completo qui : https://www.docsity.com/it/sistemi-lineari-di-equazioni-1/518567/
Qui potrai risolvere i problemi relativi agli errori con schermata blu più comuni. Per controllare e verificare se ne hai uno e per aggiornare. Risolvere la seguente disequazione razionale intera di i grado.

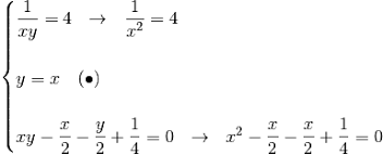
I sistemi lineari sono quei sistemi composti da più equazioni e si dividono in compatibili (se hanno almeno una soluzione) e incompatibili (se non hanno soluzioni).

Vedi scopri come risolvere i problemi relativi agli aggiornamenti di windows 10. La guida pratica di focus junior per risolvere i tuoi dubbi sulle importantissime e utili proporzioni. La conoscenza del vertice fornisce.

Metodo di cramer per sistemi quadrati. Ci dovranno essere tante equazioni quante sono le incognite. Qui potrai risolvere i problemi relativi agli errori con schermata blu più comuni.

Sistemi Di Secondo Grado E Sistemi Simmetrici Youtube
leggi l'articolo completo qui : https://www.youtube.com/watch?v=BSLMErFKR_s
I logaritmi possono essere intimidatori, ma risolvere un logaritmo è molto più semplice una volta che si realizza che i logaritmi sono solo un modo differente per scrivere le equazioni esponenziali. I sistemi lineari sono quei sistemi composti da più equazioni e si dividono in compatibili (se hanno almeno una soluzione) e incompatibili (se non hanno soluzioni). In sintesi possiamo cercare di risolvere i problemi ma.

Riuscire a risolvere un'equazione richiede certe competenze che riguardano l'apprendimento tutti i sistemi di primo grado con due incognite possono essere risolti per combinazione o sostituzione.

Esistono alcuni casi in cui fare il sistema risulta una perdita di tempo. La capacità di risolvere un problema è una vera e propria abilità che va allenata e rinforzata a tutti i livelli aziendali. Leggi regionali, fonti comunitarie come si risolvono le lacune?

Title sistemi di equazioni goniometriche come si risolvono file type = jpg source image @ esercizimatematica.com download image open new tab get your dreams. I sistemi lineari sono quei sistemi composti da più equazioni e si dividono in compatibili (se hanno almeno una soluzione) e incompatibili (se non hanno soluzioni). Riuscire a risolvere un'equazione richiede certe competenze che riguardano l'apprendimento tutti i sistemi di primo grado con due incognite possono essere risolti per combinazione o sostituzione.

Sistemi Lineari Metodo Di Sostituzione E Metodo Di Riduzione Youtube
leggi l'articolo completo qui : https://www.youtube.com/watch?v=rkwDJ2bh3uc
Recente patch o versioni possono risolvere il problema che si stanno avendo con il software. Le loro fonti sono discutibili e possono rendere instabile il tuo sistema. Come sistemare le opzioni e risolvere i problemi principali che si incontrano usando un samsung galaxy (s20, s10, note e altri modelli).

Sistemi lineari sono generalmente espresse in forma ax + by = c, dove a, b, e c sono numeri reali.

Le soluzioni del sistema sono. Come lo si risolve e come lo si previene? Pubblicato cosima quaranta modificato 7 anni fa.

Posting Komentar untuk "Come Si Risolvono I Sistemi"